Math 231 - Advanced Calculus I - Fall 2025

General info and course outline
Instructor: Ferit Öztürk
Office: tb260-b (Math. Dept.); Phone: 359-6532
Course Schedule: tue, thr 13:00-14:40 tue at M1170 and thur at M1171

Assistant: Cem Yalım Özel
Office hours: tba
PS Schedule: on Dec 17th wed btw 17:00-19:00 at M1200

Student assistant: Utku Özenir
Office hours: tue 17:30-19:30

midterm 1: 30%; on October 31, Friday; between 17:00-19:00
midterm 2: 30%; on December 3; between 17:00-19:00
final exam: 30%; on December 26; between 17:15-20:15
pop quizzes: 10%; best 5 count.
Make-up exams for the midterms on December 19th.


Our book, Folland's Advanced Calculus (2nd edition), can be found online here.

Grades Check your grades as quickly as possible and tell me urgently if there is a mistake

midterm 1 covers sections 1.1, 1.2, 1.3, 1.4, 1.5
solutions for midterm 1 (updated)

midterm 2 covers sections 1.6, 1.7, 2.1, 2.2, 2.3, 2.4, 2.6, 2.7
solutions for midterm 2 (updated)

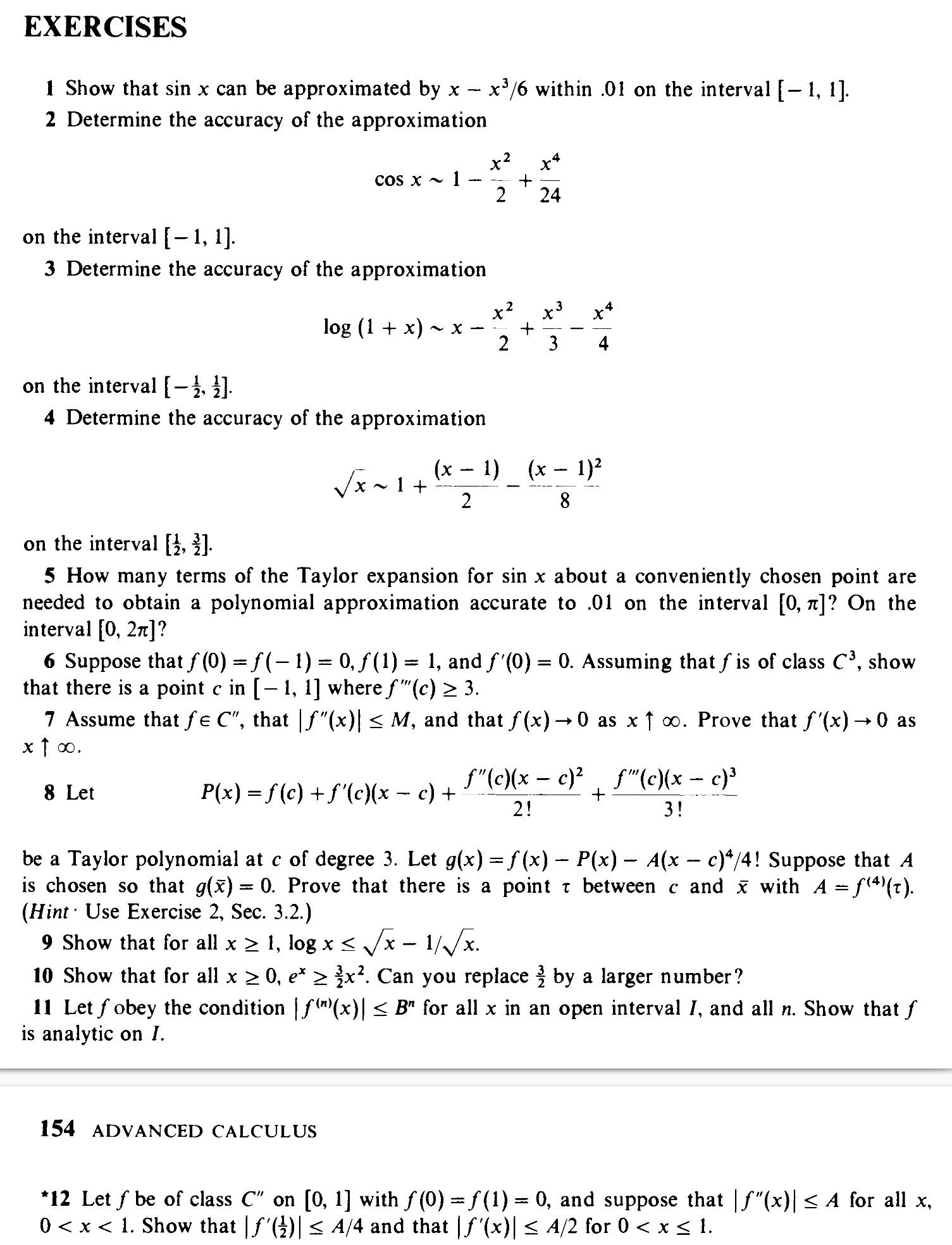
final exam covers all the material of the semester, focusing on the final sections: 2.6-10; 3.1
work out these exercises before the final: 2.9.1-19; 3.1.1-9; BUCKp166; BUCKp366
solutions for final
You may see your exam papers on Wednesday between 13:00-15:00 at Yalım's office.

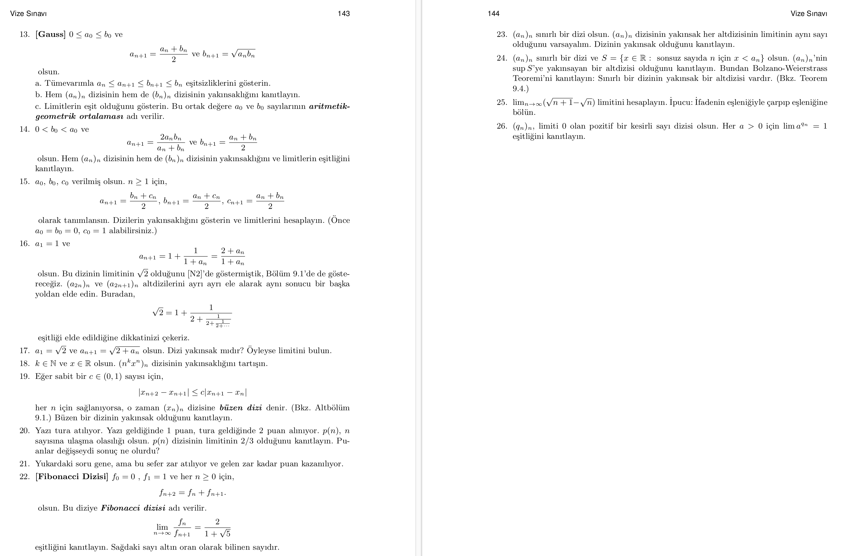
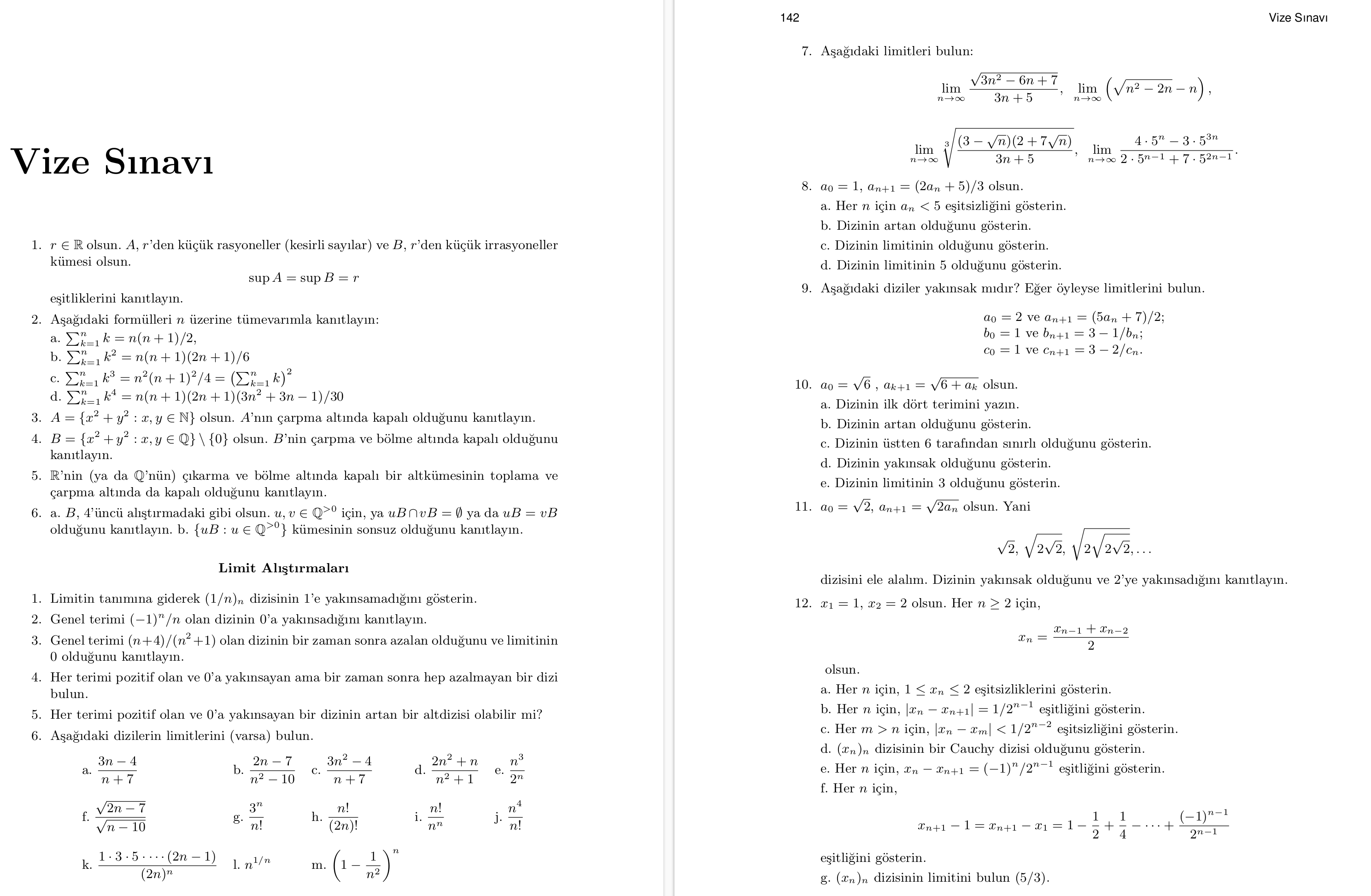
PS material:
BUCK: Advanced Calculus by R.C. Buck, 3rd edition, 1978;
SPIVAK: Calculus on Manifolds by M. Spivak
NESIN: Analiz I by A. Nesin
ZAKON: Mathematical Analysis by E. Zakon;
Suggested problem list:
week 2
week 3: 1.3.1-9; BUCKp37; SPIVAKp13
week 4
week 5: 1.5.1-8; NESINp141; NESINp143
week 7: 1.6.1-6; 1.7.1-11
week 8: 2.1.1-10
week 9: 2.2.1-8
week 10: 2.4.1,2; 2.6.1-9; BUCKp135; BUCKp146
week 11: 2.7.1-4; BUCKp153; ZAKONp299;

quiz solutions: q0 q1

[Dept Mathematics] [Boğaziçi University]